關鍵詞(cí): 液下泵、自吸泵、螺杆泵

ZE化工流程泵結構描述
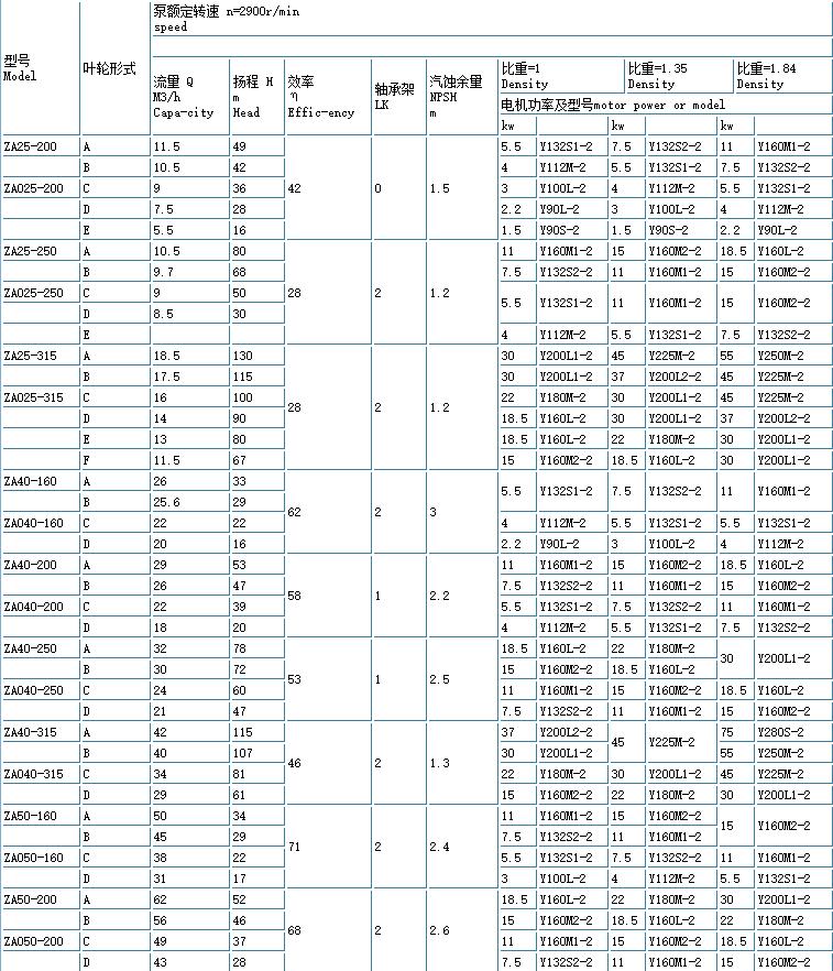
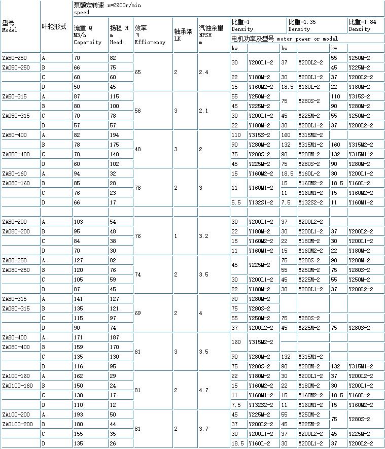
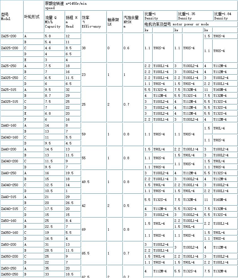
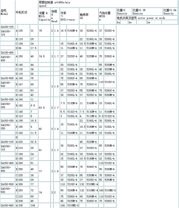
ZA、ZE型石油化工(gōng)泵執行API610標準,口徑25~400mm,流量可達(dá)2600m3/h,揚程可達250m。
同(tóng)時可保證流程工作要求的維修條件,軸承、軸封和(hé)葉輪為一轉子組件可進行迅速的拆卸或裝配,大大縮短了停車維(wéi)修周期。
葉(yè)輪為單吸徑向閉(bì)式,帶有葉輪耐磨環和泵體耐磨環,磨(mó)損後隻需要更換耐磨環可減低(dī)維修和構件的成本。
泵蓋上帶有冷卻和(hé)加熱(rè)軸承箱體的結構。軸封有填料密封和(hé)機(jī)械密封兩種類型,用(yòng)戶可根據不同使用工況進(jìn)行(háng)選擇。
軸承用(yòng)潤滑油潤滑(huá),軸承支架上帶有恒位油環,軸承支(zhī)架分無冷卻、水冷卻、風扇冷卻結構。泵與電機間使用彈性聯軸器作為連接元件,該元件可補償小的軸向、徑向和(hé)角度位移。






以世界技術為先導,國際水平為目標,向科技求發展,向質量求生存,向(xiàng)信(xìn)譽求市場,向管(guǎn)理求效益